Power Supply for Aerospace & Military

400Hz Power Transformer
ГлавнаяРешенияPower Supply for Aerospace & Military[PRIN]-400Hz变压器的工作原理和特征

[PRIN]-400Hz变压器的工作原理和特征

Теги:
Поделиться в:

Basic Principle of a 400Hz Transformer

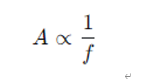
The size of a transformer is closely related to its operating frequency. In transformer design, the core cross-sectional area is usually typically proportional to the operating frequency.
Therefore, when the operating frequency is increased from 50Hz or 60Hz to 400Hz, the required core volume can be significantly reduced.

In a typical aviation power system, the power conversion process typically includes the following steps:

  • 1. Rectifying the onboard DC power supply (e.g., 28V or 270V DC) or frequency-converted AC power.
  • 2. Generating a stable 400Hz AC power supply using PWM technology via an inverter.
  • 3. The **400Hz transformer** performs voltage regulation (e.g., step-up to 115V/200V) and provides electrical isolation.

Through this structure, the 400Hz transformer simultaneously undertakes the important functions of **voltage transformation, system isolation, and power quality stabilization** during the power conversion process.

Magnetic Materials and Structural Optimization

To accommodate higher operating frequencies, 400Hz transformers typically employ the following materials and technologies:

  • 1. Thin silicon steel sheet lamination structure (thickness approximately 0.1–0.2 mm)
  • 2. Amorphous alloy core materials
  • 3. Low-loss ferrite materials

These materials possess high permeability and low eddy current losses, significantly improving transformer efficiency and reducing heat generation.

Гармонический фильтр для железнодорожного транспорта и транспорта, номинальный ток 40A, степень защиты IP65
Предыдущая: Гармонический фильтр для железнодорожного транспорта и транспорта, номинальный ток 40A, степень защиты IP65 3 дней назад
[TREND]-400Hz电源技术的发展趋势
Следующая: [TREND]-400Hz电源技术的发展趋势 1 месяц назад
Редактор SIKES
Все продукты Быстрый фильтр
Новости, которые вы, возможно, захотите прочитать
Последние обновления и актуальные темы от нас